
If you’re looking for NUMS Syllabus 2019 along with English Vocabulary on the internet, then you have come to the right place.
You know that if the syllabus doesn’t change, the test is taken from the previous syllabus. It means NUMS Syllabus 2017 is the ultimate syllabus for 2019.
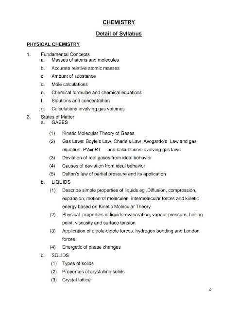
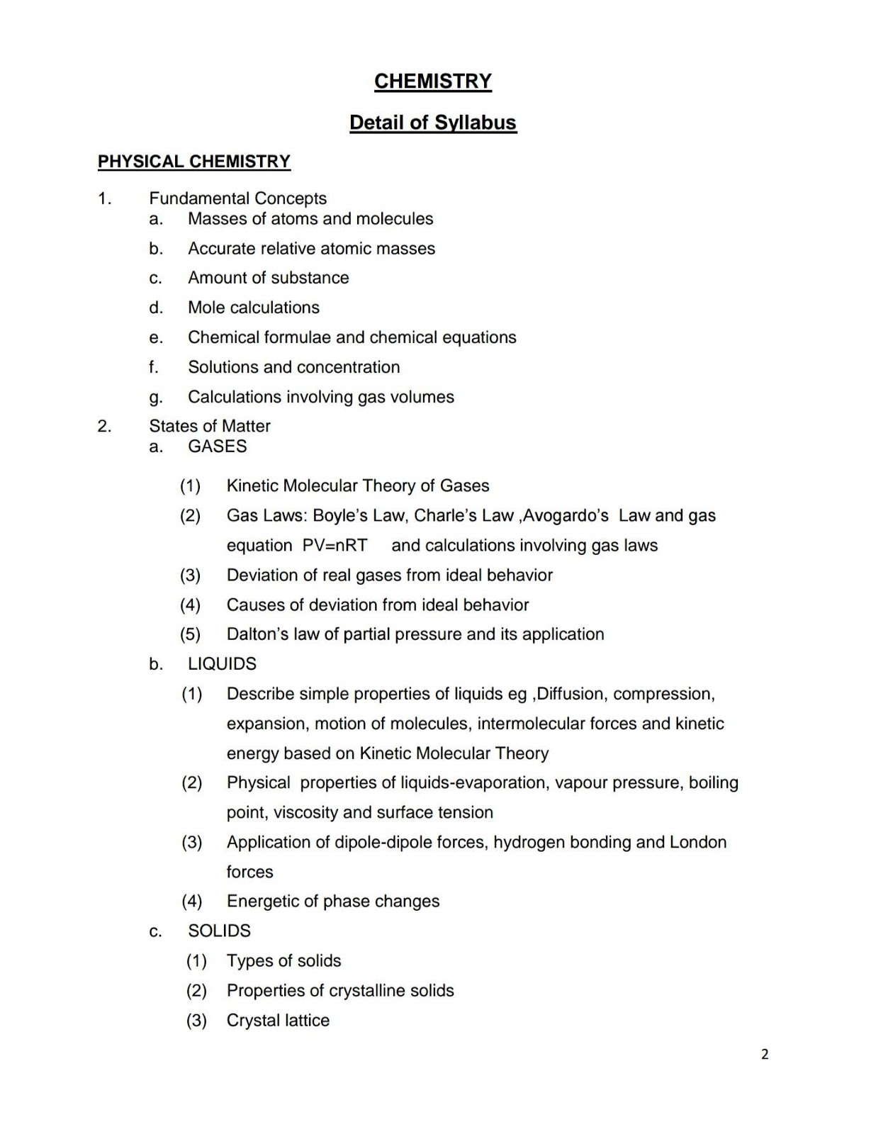
This syllabus has the information for Chemistry, Physics, Biology and English subjects. You can download or you can view online.
Attention: NUMS has denied it has syllabus for the current year. I have been following NUMS since 2016, it was the time when they uploaded the syllabus themselves. I have a proof, you can check in Way Back Machine that stores the saved copy of all the internet websites for the future evidence. Link: Proof. It is up to you either you prepare from the syllabus mentioned below or not.
You know that the Entry Test will be conducted through NTS on 27th August 2018. NUMS has the last date of submission to 31 July 2018. (The date is not final)
2. Application forms can also be obtained from Admission Office NUMS and affiliated colleges/institutes on any working day from 9 AM to 3 PM.
Don’t Worry! We will upload a step by step guide how to apply for NUMS as the admission form is live on the NTS site. Keep visiting TopStudyWorld.
You know that NUMS includes the following institutes:
1. Army Medical College, Rawalpindi
2. CMH Lahore Medical College
3. CMH Multan Institute of Medical Sciences
4. Quetta Institute of Medical Sciences
5. Wah Medical College
It means you have a golden chance to prove yourself in order to get admission any of these institutes. It would be the best if you download the syllabus and memorize it as if you’re the author.
If you look at the syllabus, everything has been explained which topics you have to prepare for the test, and how many MCQs will be taken from a topic.
For example, 2 MCQs will be taken from the chapter of Atomic Structure.
Similarly, 8 MCQs will be taken from Cell Biology. As well as topics and sub-topics are also explained.
It really makes the concepts and topics easy to grasp. You have not to memorize all the books rather only the particular topics.
PDF Download | NUMS Syllabus 2019
If you want to download the NUMS Syllabus, click the below image!
Bonus – Prepare from Top Grade to Get High Marks in NUMS
Google Drive Online View
Online Images View

He is an SEO wizard and founder of Top Study World & Nafran, has been featured more times than a celebrity on Ahrefs, Semrush, Dawn News, Propakistani and dozens more. His superpower? Helping students ace their exams!




































